昨天在讨论新锐航天几乎都是坑的时候,有这么一个留言:

“地球上发射一枚火箭,绕太阳一周后返回地球,请列出其运动方程——列不出来,我就不信你的文章”

打开网易新闻 查看精彩图片

爱信不信啊,W君就是因为太闲,没事写点东西打发时间,这也总好过刷短视频看大腚吧。

黄吉虎教授
打开网易新闻 查看精彩图片
黄吉虎教授

“地球上发射一枚火箭,绕太阳一周后返回地球,请列出其运动方程”这件事是黄吉虎教授在纪念钱老诞辰100周年的一篇文章《钱学森与中国科大力学系》中提到的钱老和科大之间的点点滴滴故事中的一个段落。如果能好好看这篇黄教授的文章,一个更丰满的钱老的形象会在大家的心中建立起来。

不过,现在碎片化的自媒体作者往往就抓出文章中的某些大家都不明白的“点”,拉扯出一些情绪去搏流量了。至于钱老在1962年1月27日那场开卷考试中提到的轨道计算问题本身却在大多数自媒体作者的鸡血文里面却没有后继了……

今天恰好有这么一个留言,咱们就来讲讲钱老的这个考题要如何解。

这个问题之所以让普通网民觉得很不可思议,主要的问题在于“领域问题”,航空航天的计算对于大多数普通网民来说有点过于遥远了。而且,在大部分中国人的思维里面一谈到数学就是算出结果,例如3+5=? 一定得等于8,不能等于4+4或者128/16。这是文化的局限性,我们的文化在一些时候太注重“结果”,而忽略了数学中的“equal

不扯闲篇,咱们说回钱老的问题:

这件事最简单的方法是利用“共振轨道”进行轨道设计,反正是绕太阳一圈再回来嘛,用这种方式进行轨道设计是最简单的形式。所谓的“轨道共振”是指两颗天体(这里是地球和飞行器)绕太阳运行的周期形成了一个整数比关系。最典型的例子就是 2:1 共振:地球一年围绕太阳转一圈,飞行器两年转一圈。这样两年之后,飞行器完成一次绕日大椭圆,地球也正好完成两次公转,二者在几何上就会再次相遇。

打开网易新闻 查看精彩图片

这个问题挺好理解的,基于轨道力学我们可以计算出地球的轨道公式在某一点位置上的速度,然后以这个点为起点(主要是太阳和火箭的距离)来计算满足2倍轨道周期上的轨道速度就可以了。

第一步,我们可以先定义参考坐标系,例如在上图中,我们就用了日心作为参考坐标系的中点,设定近日点在1AU的位置上,在这个点到太阳的距离就可以定义为火箭轨道的近日点距离。

第二步,我们可以引入开普勒轨道定律。主要要用到第三定律:各个行星绕太阳公转周期的平方及其椭圆轨道的半长轴的立方成正比。

打开网易新闻 查看精彩图片

也就是:

打开网易新闻 查看精彩图片

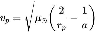
所以要让火箭围绕太阳转的轨道周期等于两倍地球围绕太阳旋转的周期,也就是Tᵣ=2Tₑ,

也就是说这枚火箭的轨道的半长轴是1.5874个天文单位。通过半长轴的大小以及它的近日点就是1个天文单位(rₚ=1AU),这时候我们有了a了也有了rₚ了,就可以使用轨道速度公式来计算近日点的速度vₚ了。

打开网易新闻 查看精彩图片

最终vₚ=1.170486854 倍的地球围绕太阳运行的速度。这时候29.78km/s * 1.1705,我们就可以得出火箭应该具有的太阳轨道速度为34.86km/s 了

在以太阳黄道面为平面,太阳为原点的J2000参考系中

打开网易新闻 查看精彩图片

地球已经为火箭提供了29.78km/s的轨道速度,假设我们已经把火箭发射到了200km的高度,我们只需再提高火箭的速度就可以让这枚火箭脱离地球轨道而进入太阳公转轨道。

如果从 200 km 高度的近地圆轨道出发,真正要算的是逃逸速度和这部分余速的合成,公式为:

打开网易新闻 查看精彩图片

代入数值后大约是 4.5 km/s 的理想点火速度。

第三步,返回进入火箭轨道后,到第二年返回到时候会比地球公转的速度快5.08千米/秒,也就是说,它虽然“几何上”相遇了,但速度并不匹配。要想被地球再次捕获,就必须进行制动,否则,火箭只会从地球身边一掠而过。这时候又回到了火箭公式,Δv又起到作用了,我们需要向火箭飞行的反方向启动火箭,让火箭慢慢的被地球引力所捕获。

以上这些,就是钱老考题的标准答案了!不过,这个东西并不是钱老考题的正确答案。

如果用这个方法答题去设计一枚围绕太阳飞一圈在飞回地球的火箭飞行弹道还是不够的。毕竟,所有的火箭飞行都是以完成任务为目的的。

围绕太阳兜了一个比地球还大的圈子,与其费劲绕远路,不如直接在地球轨道上放一颗卫星绕一年,性价比可能更高。正因如此,这道题才显得特别:它不是让你算一个“能飞多远”的结果,而是考察你是不是能用严谨的方法把问题拆解清楚。

就轨道计算来说,一枚近日轨道卫星所承载的技术难度远比人们想象的要大。我们都熟悉地球的第一宇宙速度——7.9 km/s,这是摆脱地球引力、进入近地轨道的最低门槛。可如果换成太阳,用同样的方法来算“第一宇宙速度”,结果会是惊人的 473 km/s,差不多是地球的 60 倍。

那么问题来了:为什么地球却能以区区 29.8 km/s 的速度,安安稳稳地绕太阳公转?原因其实很朴素——地球离太阳足够远。距离把太阳的引力削弱了许多,正好让地球用一个“温和”的速度就能维持轨道。

打开网易新闻 查看精彩图片

这个现象在地球体系里也能找到类比。比如地球同步轨道上的卫星(距离地面35786 千米),从地面看仿佛“静止不动”,速度是零;但在更高层次的参考系里,它其实以大约 3.07 km/s 的速度绕地球飞行。速度的大小,往往取决于你选择的参照系。

打开网易新闻 查看精彩图片

正因如此,那惊人的 473 km/s,在目前的人类科技条件下,还完全不可能实现。把宏观物体在 J2000 日心惯性系中加速到这样的速度,并且还要做到可控,远远超出了现有的推进手段。作为对比,人类迄今为止飞得最快的宏观航天器——旅行者 1 号,在 J2000 参考系中的速度也不过 17 km/s 左右(v∞),和 473 km/s 相差了整整一个数量级以上。

打开网易新闻 查看精彩图片

所以……钱老会不知道这件事情吗?那么““地球上发射一枚火箭,绕太阳一周后返回地球,请列出其运动方程””当初这还是个问题吗?

钱老当然清楚这些。在他那个年代,中国的航天事业才刚刚起步,计算条件极为有限,甚至连最基础的计算尺都要靠他自掏腰包捐助学生。他出的题目,从来都不是为了让学生在纸面上得出一个漂亮的“最终答案”。真正的目的,是训练一种思维方式:面对复杂的现实问题,你能不能把它拆开、抽象成方程,再逐层分析和求解。

在这一点上,钱老的考题其实很“狡猾”。他表面上抛出一个看似离奇的问题——火箭绕太阳飞一圈再回来。但只要学生一头扎进去,就会发现:这背后涉及的,既有天体力学的两体解、三体问题的不可积,又有工程上的拼接圆锥近似,还有能量收支、再入捕获的 Δv 预算。任何一个环节都不可能被轻易跳过。最终,学生哪怕没算出完整轨道,也会在这个过程中深刻体会到什么叫“系统工程”的思维。

这就是W君开始说中国人的文化太纠结于“结果”,而不是“等于(equal)”的原因了。

数学从来都不是算数,是不要结果的。钱老让大家列出运动方程的过程也不是要一个答案而是验证大家是不是真的学会了完整的知识。这件事和张三丰教张无忌太极拳一样——“你忘了吗?”“还没有忘干净?”“那继续忘掉”是相同的道理,在中国的一些武学里面叫做“忘形得意”,不在于招式的死记,而在于你是否掌握了背后的劲路与呼吸。

要是W君当年在课堂,就会斜愣着眼问钱老,“您真要结果吗?似乎纸不够啊”。

但,基本的几步方程还是还是可以进行进一步的推导的。刚刚在说的概念,其实已经包括了1AU位置上运行2年后返回地球的特定计算——这就是一个最让人不屑的“答案”。

运动方程呢?

我们可以基于这个答案联立运动方程!0.9AU、0.5AU、0.1AU的轨道方程我们都可以推导出来,这时候再利用霍夫曼轨道转移公式我们就可以建立转移轨道和转移路径。

例如向0.5AU深入太阳系:

以日心 J2000 惯性系计算,1 AU 圆轨道速度 v1=29.78km/s,目标半径r2=0.5AU,

打开网易新闻 查看精彩图片
打开网易新闻 查看精彩图片

然后就是推速度了,近端减速远端加速。轨道就会逐渐的重整为想要的形状。

深入太阳系(靠近太阳)的事情,人类一直在做,今天一个名叫派克的太阳探测器正在一遍一遍的围绕太阳近距离飞行。

打开网易新闻 查看精彩图片

在 2024 年 11 月 6 日,帕克太阳探测器完成了最后一次霍曼转移机动,正式进入了距离太阳0.046 个天文单位(约 9.86 个太阳半径)的极端轨道。这意味着它比水星的近日点还要靠近太阳足足六倍。

为了抵达这里,帕克并不是单纯依靠自身推进器“硬冲”进去的,而是通过精巧的轨道设计,反复借助金星的引力弹弓效应来减速、调整轨道倾角,并逐步缩小近日点半径。每一次近金星飞掠,都会像拧动螺丝一样,把探测器的轨道往太阳更深处推进一步。

打开网易新闻 查看精彩图片

在近日点,这个探测器的速度已经达到了191km/s。

打开网易新闻 查看精彩图片
打开网易新闻 查看精彩图片

就这个探测器的路径推演而言,所涉及的计算量已经达到了天文数字。即便是依靠当今最先进的计算机来进行轨道设计与数值积分,也依然不可能“算尽”所有影响因素——太阳风、相对论修正、热效应、姿态控制误差,每一项都可能带来扰动。

那么钱老的意图在哪里?

他并不是要学生真的算出一条可发射的轨迹。这份考题出自《星际航行概论》的课程,而这门课本身就是钱老在中国科大开设的通识教育——它的目的不是培养几个马上能设计火箭的技师,而是训练学生面对庞大复杂系统时的建模能力和分解能力。

所以,这道题的真正意义,不在于算出一个完整轨道,更不在于和工程实际完全对接,而是告诉学生:面对庞大未知,不要被复杂性吓住,先写下方程,把问题拆开,再逐步求解。

更需要大家留意的一点是,钱老是“工程控制论”的奠基人,从工程控制论的角度来说,真的不一定要解答特定问题的特定答案,而是要找出关键控制点。这样才能用最小的工程代价来对一个复杂的问题求解。

其实在各种方程中是有边界性的。这些过程不能单一依靠某个公式的数值解。

例如刚刚给大家埋了个扣,要计算0.5个AU天文单位的时候太阳的轨道速度。这个公式能不能算贴近太阳的速度呢,似乎能吧?

打开网易新闻 查看精彩图片

你要看0.5被放在了公式的哪个位置啊!真能用0做分母吗?那样不数值爆炸了?而且不厌其烦的去开根号?倒不如每次一半的距离去逼近而这个逼近的过程恰恰就是在控制论中修正误差提供反馈的过程——中间砍一刀大幅度简化计算过程和缩减计算步骤。

打开网易新闻 查看精彩图片

在今天的工程里,这套逻辑已经无处不在:导弹沿着既定弹道飞行时要不断测量和修正,雷达锁定目标时要不断滤波和反馈,你家空调调节温度时也在实时修正误差、趋向稳定。

考完试的学生下学期不就是开《工程控制论了》吗?! 所以你觉得钱老出这种传奇考试题的意图是啥?