事关住房!邯郸市3区最新公示!
新浪财经
·北京
·优质财经领域创作者
(来源:邯郸新闻网)
转自:邯郸新闻网
打开网易新闻 查看精彩图片
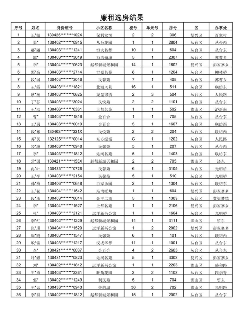
邯郸市丛台区、邯山区、复兴区2025年度第二批廉租房配租结果公示名单
近期,对邯郸市丛台区、邯山区、复兴区36户廉租房家庭进行了实物配租。现将配租结果公示如下,公示期5个工作日。公示期间欢迎广大群众监督举报。
举报电话:
丛台区保障性住房管理中心:3117883
邯山区廉租住房和经济适用住房管理中心:3128470
复兴区廉租住房和经济适用住房管理中心:4045606
2025年9月28日
打开网易新闻 查看精彩图片
来源:邯郸市住房和城乡建设局网站
热门跟贴