活性酯法早期主要应用酸与氯甲酸乙酯或异丁酯反应生成混合酸酐,而后再与胺反应得到相应的酰胺,这一反应如果酸的a-位位阻大或者连有吸电子基团,有时会停留在混合酸酐这一步,但加热可以促使其反应;这一反应也可用于无取代酰胺的合成。

打开网易新闻 查看精彩图片

应用羰基二咪唑(CDI)与羧酸反应得到活性较高的酰基咪唑,许多酰基咪唑有一定的稳定性,有时可以分离出来,但一般来说其不用分离,反应液直接与胺一锅反应制备相应的酰胺;有文献报道羰基二咪唑与三氟甲磺酸甲酯反应得到的二甲基化的三氟甲磺酸盐(CBMIT)的缩合性能更好。该类反应由于过量的CDI或CBMIT会和胺反应得到脲的副产物,因此其用量一定要严格控制在1当量。最近我们发现应用CDI合成Weinreb 酰胺是一个较好的方法。

打开网易新闻 查看精彩图片

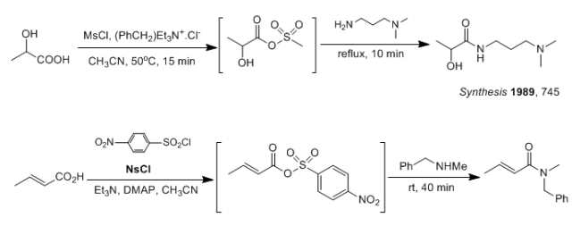
另一类常用的方法是羧酸和磺酰氯生成羧酸-磺酸的混合酸酐,其与胺反应得到相应的酰胺。常用的磺酰氯有甲烷磺酰氯(MsCl),对甲苯磺酰氯(TsCl)和对硝基苯磺酰氯(NsCl), 对硝基苯磺酰氯由于其吸电子性,其与酸反应生成活性更高的混合酸酐,一般二级胺和三级胺,甚至位阻很大的胺都能顺利反应。

打开网易新闻 查看精彩图片

通过酸与Boc酸酐反应得到的混合酸酐与氨反应可得到相应的伯酰胺。

打开网易新闻 查看精彩图片

一、氯甲酸异丁酯活性酯法合成酰胺示例

打开网易新闻 查看精彩图片

A solution of acid 1 and 4-methylmorpholine(NMM, 0.54 mL, 4.92 mmol) in DMF (10 mL) was treated at room temperature withisobutyl chloroformate (0.64 mL, 4.92 mmol). After 30 min, pentylamine (0.57 mL, 4.92 mmol)was added. The reaction mixture wasstirred for 12 h. The solvent was evaporated,and the residue was partitioned between ethyl acetate (25 mL) and water (25mL). The ethyl acetate layer was washedwith 5% NaHCO3 (10 mL) and brine (20 mL), dried over Na2SO4,and evaporated. The residue waschromatographed on silica gel eluting with hexane and ethyl acetate (2:1) togive 0.33 g (33%) of tert-butoxycarbonylatedamino amide (2)

二、羰基二咪唑合成Weinreb酰胺示例

打开网易新闻 查看精彩图片

To acid 5 (4.0 g, 14.1 mmol) in CH2Cl2(70 mL) at 23℃ was added 1, 1’-carbonyldiimidazole (3.65 g, 22.5 mmol) in equal portions over15 min. After the final addition,stirring was continued for 10 min, then N,O-dimethylhydroxylamine • HCl(3.43 g, 35.16 mmol)was added in one portion. The reactionwas allowed to stir at 23℃ for 3 h. Et2O wasadded (50 mL) and the reaction mixture was filtered. The filtrate was evaporated, diluted with Et2O(125 mL), washed with 5% aq. citric acid (2 x 50 mL) and brine (50 mL), anddried over MgSO4. The crudeproduct was purified by flash chromatography (3:1 hexanes: EtOAc) to affordWeinreb amide 6 (4.29 g,93% yield) as a colorless oil. Rf0.42 (2:1 hexanes:EtOAc); 1HNMR (300 MHz, CDCl3): δ 5.43 (m, 1H), 4.72 (s, 1H), 4.17-4.11 (m,1H), 3.71 (s, 3H), 3.22 (s, 3H), 2.59-2.24 (comp. m, 3H), 2.03 (dd, J =14.6 Hz, 4.1 Hz, 1H), 1.75-1.71 (m, 3H), 0.86 (s, 9H), 0.11 (s, 3H), 0.09 (s,3H).

三、磺酰氯合成酰胺示例

打开网易新闻 查看精彩图片

A mixture of the benzoicacid (10 mmol), 4-methylbenzene-1-sulfonyl chloride (10 mmol), K2CO3(5.52 g, 40 mmol) andTEBAC (0.23 g, 1mmol) in 60 mLof benzene is stirred at reflux for 40 min. Then ethyl 2-aminoacetate (10 mmol) is added and stirring is continuedfor 10 min at reflux temperature. Theprecipitate is filtered off, and the filtrate is evaporated under reduced pressure. The carboxamide 8 thus obtained is crystallized from MeOH to afford the pureproduct (yield 82%).

四、Boc酸酐合成伯酰胺示例

打开网易新闻 查看精彩图片

Typicalprocedure:

To a stirred solution of N-protected amino acid 9(10 mmol), pyridine (0.5 ml) and Boc2O (3 g, 13 mmol) in an appropriate solvent (such asdioxane, DMF and CH3CN, 10-15 ml), ammonium hydrogencarbonate (1 g, 12.6 mmol) was added and the mixturewas stirred for 4-16 h. Ethyl acetatewas added and after washings with water and 5% H2SO4, thesolution was dried, the solvent was evaporated and the product was trituratedwith ether. In another variant the reactionmixture was diluted with water (30-40 ml), stirred until crystallization was completed,a residue was then collected by filtration, washed by water, dried and recrystallizedas necessary.

本文内容来源于网络,版权归原作者所有。